高能核-核碰撞旨在研究夸克胶子等离子体(QGP)并探索强相互作用物质的相图和相变。近期,北京大学物理学院理论物理研究所宋慧超教授和刘玉鑫教授团队与合作者首次提出利用高能核-核碰撞来探究有限原子核的形状相变。2024年11月4日,相关研究成果以“利用大型强子对撞机(LHC)极端相对论Xe+Xe碰撞探究原子核形状相变”(Exploring the Nuclear-Shape Phase Transition in Ultra-relativistic 129Xe+129Xe collisions at LHC)为题在线发表于《物理评论快报》(Physical Review Letters)。

图一 利用高能核-核碰撞探究原子核结构示意图
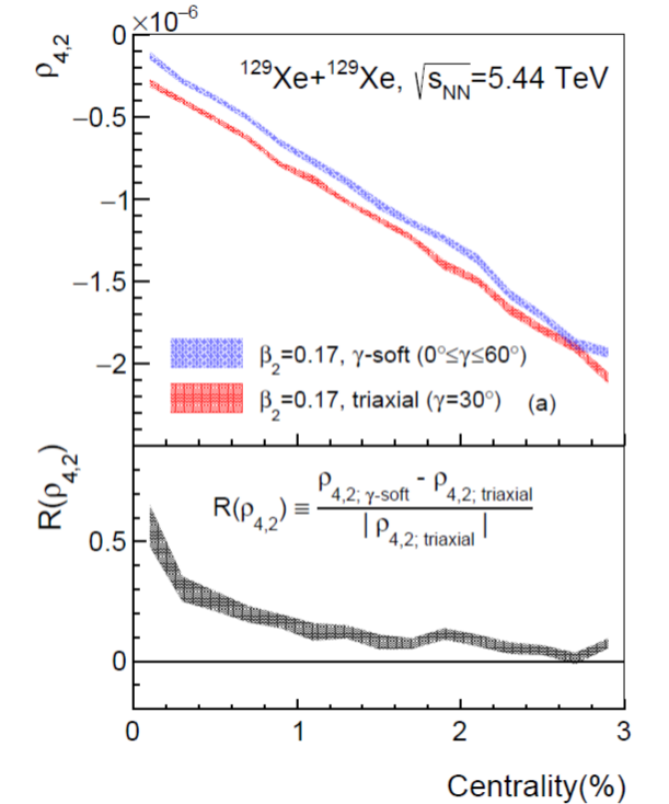
在原子核领域,形状相变用以解释某些同位素或同中子素链在其低能结构(核子关联及集体运动模式等)和性质的演化行为,它与核的对称性紧密相关,对其深入的了解可加深我们对原子核基本性质的认识。以往研究表明,Xe 同位素链会在128-130Xe 附近发生二级形状相变,其结构由 ϒ 软转子过渡到球形振子。在该文章中,北京大学团队与合作者首次提出利用LHC能区的Xe+Xe碰撞来探究Xe同位素链的形状相变。
在LHC能区,由于核-核碰撞的时间极短(小于10-24秒),原子核基态结构的空间信息被直接刻画于QGP的初态,并在演化过程中转化为末态粒子的动量分布和关联。得益于相对论流体力学及耦合模型对QGP演化的精细描述,研究者可从不同末态流信号中提取QGP初态及所碰原子核的结构信息。利用iEBE-VISHNU耦合模型,北大团队及合作者系统计算了 129Xe+129Xe碰撞椭圆流与横动量关联等观测量,并预言ρ4,2等6粒子关联对二级形状相变ϒ 软行为敏感。该研究工作为探究原子核形状相变提供了全新的途径和方法,也拓展了高能核-核碰撞领域相变和相变临界点研究的版图。

图二ρ4,2等6粒子关联对129Xe核的ϒ 软行为敏感
北京大学物理学院2020级博士生赵沭钧为该论文的第一作者,宋慧超教授为通讯作者,其他作者还包括北京大学刘玉鑫教授、湖州师范学院徐浩洁副教授和丹麦尼尔斯·波尔研究所周铀教授。
该研究工作受到国家自然科学基金、理论物理专款及北京大学超算中心和曙光超算中心的支持。
论文原文链接:https://journals.aps.org/prl/abstract/10.1103/PhysRevLett.133.192301